Pengertian Uji Validitas dan Reliabilitas lengkap dengan rumus dan contoh soal☑️ Cara uji validitas dan reliabilitas SPSS☑️
Validitas dan reliabilitas merupakan konsep dasar yang dipakai untuk meninjau kualitas penelitian. Ini mencirikan seberapa baik teknik, metode atau tes sewaktu melakukan pengukuran.
Reliabilitas atau keandalan membahas tentang konsistensi, sementara validitas merujuk pada ukuran keakuratan. Terutama dalam penelitian kuantitatif, penting untuk mempertimbangkan keberadaan keduanya.
Pengertian Validitas dan Reliabilitas

Penting untuk senantiasa mempertimbangkan reliabilitas dan validitas saat membuat desain penelitian, merencanakan metode, hingga menuliskan hasil kesimpulan Anda. Agar semakin memahami perbedaan antara keduanya, beberapa poin berikut ini bisa dijadikan batasan.
- Pengertian Validitas
Validitas adalah indeks statistik yang menunjukkan alat ukur itu benar-benar mengukur apa yang hendak diukur. Contoh jika didapati anak balita memiliki berat badan 20 kg, maka timbangan yang digunakan untuk menimbang anak tersebut juga menunjukkan berat 20 kg, bukan 18,9 kg atau 20.3 kg.
Contoh diatas menunjukkan bahwa timbangan yang digunakan sebagai alat ukur berat balita tersebut adalah valid.
Validitas membahas tentang sejauh mana hasil benar-benar mengukur apa yang semestinya diukur. Cara menilainya dengan memeriksa seberapa baik hasilnya sesuai dengan kemapanan teori serta ukuran lain dari konsep yang sama.
Pengukuran yang valid umumnya bisa diandalkan. Jika suatu tes mampu memberikan hasil akurat, itu seharusnya dapat pula direproduksi.
- Pengertian Reliabilitas
Menurut (Walizer, 1987), pengertian reliabilitas adalah konsistensi sebuah pengukuran. Reliabilitas berasal dari kata serapan bahasa inggris yaitu reliability.
Menurut Ghozali (2009), reliabilitas adalah indeks statistik yang menunjukkan sejuh mana suatu alat pengukur dapat dipercaya kebenarannya. Reliabilitas suatu test merujuk pada derajat stabilitas, konsistensi, daya prediksi, dan akurasi
Reliabilitas dapat menunjukkan sejauh mana hasil pengukuran itu tetap konsisten bila dilakukan dua kali atau lebih terhadap gejala yang sama, dengan menggunakan alat ukur yang sama.
Perlu dipahami, pengukuran yang andal tidak selalu valid. Dalam hal ini, hasilnya mungkin bisa direproduksi, tetapi belum tentu benar. Alat ukur akan dikatakan reliabel jika menghasilkan hasil yang sama meskipun dilakukan pengukuran berkali-kali.
Rumus Uji Validitas
Menurut Ghozali (2009), pengertian uji validitas adalah metode pengujian dalam statistika yang digunakan untuk mengetahui validasi dari sebuah alat ukur yang digunakan untuk mengukur sebuah objek.
Uji validitas berorientasi pada akurasi. Jika Anda menggunakan skor atau peringkat untuk mengukur variasi suatu hal, misalnya ciri psikologis, penting memastikan bahwa yang diperoleh mencerminkan variasi nyata seakurat mungkin.
Dalam notasi matematis, rumus uji validitas adalah :

Dimana,
- X adalah skor perolehan per subjek
- Y adalah total skor seluruh item
- N adalah jumlah responden.
Validitas wajib jadi pertimbangan paling awal saat hendak melaksanakan penelitian, terutama saat Anda memutuskan bagaimana akan mengumpulkan data.
Uji validitas mengacu pada tingkat akurasi suatu metode dalam mengukur apa yang hendak diukur. Apabila penelitian mempunyai tingkat validitas tinggi, itu artinya mampu memberikan hasil sesuai dengan karakteristik, sifat, sesuai variasi kenyataan di lapangan.
Tingginya reliabilitas termasuk indikasi bahwa suatu instrumen dikatakan valid. Jika sebuah metode tidak dapat diandalkan, maka artinya tidak valid juga.
Sebagai contoh, apabila termometer menunjukkan suhu yang berbeda setiap kali Anda melakukan pengukuran, padahal telah mengontrol kondisi secara cermat demi memastikan suhu sampel tetap sama, maka kemungkinan termometer tersebut memang tidak berfungsi. Oleh karena itu, hasil pengukurannya tidak valid.
Namun demikian, reliabilitas semata tidak cukup untuk memastikan validitas. Bahkan meski suatu instrumen bisa diandalkan, bukan berarti serta-merta mencerminkan situasi sebenarnya secara akurat.
Cara Uji Validitas
Validitas sejatinya bisa diperkirakan berdasarkan tiga indikator utama di bawah ini. Setiap indikator kemudian perlu dievaluasi melalui penilaian ahli atau metode statistik.
- Konstruk
Ini merujuk pada kepatuhan hasil pengukuran terhadap teori yang ada dan pengetahuan tentang konsep yang diukur.
- Konten
Berfungsi untuk mengecek sejauh mana pengukuran mencakup semua aspek dari konsep yang diukur.
- Kriteria
Sejauh mana hasil pengukuran sesuai dengan tingkat akurasi pengukuran lainnya dari konsep yang sama.
Untuk masalah teknis, Anda dapat mempelajarinya secara mandiri. Intinya, prinsip dasar dalam membuat keputusan validitas dapat menggunakan pedoman berikut.
- r hitung vs. r tabel
Hanya jika r hitung lebih besar dari r tabel, barulah instrumen pengukuran dikatakan valid.
- Nilai sig. (2-tailed) vs. probabilitas 0,05
Hanya jika nilai sig. (2-tailed) lebih kecil dari 0,05 dan Pearson Correlation memiliki nilai positif, barulah instrumen pengukuran dikatakan valid. Di luar hasil ini, maka tidak valid.
Contoh Cara Uji Validitas Menggunakan SPSS
a. Sekelompok mahasiswa kedokteran gigi Universitas Brawijaya akan mengukur pengetahuan kesehatan gigi dan mulut pada siswa SDN Dinoyo II, buatlah tabel uji validitas menggunakan SPSS!
Pembahasan
Yang pertama kita susun pertanyaan- pertanyaan sebagai berikut :
1. Berapa kali sebaiknya sikat gigi dalam satu hari :
a. 2 kali
b. 1 kali
c. Kadang-kadang
2. Kapan waktu yang tepat dalam menggosok gigi :
a. Setelah sarapan pagi dan sebelum tidur malam
b. Saat mandi pagi dan sore
c. Kapan saja jika diperlukan
3. Jenis makanan apa yang dapat membantu membersihkan gigi :
a. Buah dan sayur
b. Nasi dan ikan
c. Coklat dan sirup
Pertanyaan-pertanyaan tersebut diberikan kepada sekelompok responden sebagai sarana uji coba. Kemudian kuisioner tersebut diberi skor atau nilai jawaban dengan sistem penilaian yang telah ditetapkan, misalnya :
a. 2 untuk jawaban paling benar
b. 1 untuk jawaban mendekati benar
c. 0 untuk jawaban salah
Selanjutnya uji validitas dapat menggunakan program komputer (SPSS) mengikuti langkah-langkah uji validitas berikut ini:
- Distribusi skor tiap-tiap pertanyaan dengan skor total
| Responden | Nomor pertanyaan | Total | |||||||||
| 1 | 2 | 3 | 4 | 5 | 6 | 7 | 8 | 9 | 10 | ||
| A | 1 | 1 | 1 | 2 | 1 | 2 | 1 | 2 | 1 | 1 | 13 |
| B | 2 | 2 | 2 | 2 | 1 | 2 | 2 | 2 | 2 | 2 | 19 |
| C | 1 | 1 | 1 | 1 | 0 | 1 | 0 | 1 | 1 | 1 | 8 |
| D | 2 | 2 | 2 | 2 | 2 | 2 | 2 | 2 | 2 | 2 | 20 |
| E | 1 | 2 | 0 | 1 | 0 | 2 | 0 | 1 | 1 | 1 | 9 |
| F | 0 | 1 | 0 | 1 | 0 | 0 | 0 | 1 | 1 | 0 | 4 |
| G | 1 | 1 | 1 | 1 | 0 | 1 | 1 | 1 | 1 | 1 | 9 |
| H | 2 | 2 | 2 | 2 | 2 | 2 | 2 | 2 | 2 | 2 | 20 |
| I | 1 | 0 | 1 | 1 | 1 | 0 | 1 | 1 | 0 | 0 | 6 |
| J | 2 | 1 | 2 | 2 | 1 | 2 | 1 | 2 | 1 | 1 | 15 |
- Selanjutnya masukkan ke program SPSS

- Pilih Analyze dari menu utama, lalu pilih Correlate. Pilih Bivariate seperti berikut

- Inputkan nama “no1, no2, no3” sampai nama “total” ke dalam kolom variabel dengan cara blok semua nama kemudian klik anak panah ke kanan seperti gambar berikut.

- Setelah semua nama masuk ke kolom Variables, pada kolom Correlation Coefficients, centang Pearson. Abaikan yang lainnya dan Klik OK.

- Jika tiap tiap proses yang anda lakukan sudah benar, maka program SPSS akan menampilkan hasil output seperti tabel di bawah ini.

Kesimpulan : Nilai probabilitas (Sig. 2 tailed) hasil korelasi masing-masing skor dengan skor total harus lebih kecil dari α(0.05). Jika sebaliknya, maka pertanyaan kuisioner tersebut tidak valid sehingga pertanyaan tersebut bisa diperbaiki atau dihilangkan.
Rumus Uji Reliabilitas
Menurut Sumadi Suryabrata (2004: 28), uji reliabilitas adalah metode untuk menunjukkan sejau hmana hasil pengukuran suatu alat dapat dipercaya. Hasil pengukuran harus reliabel dalam artian harus memiliki tingkat konsistensi yang tinggi.
Sedangkan menurut Masri Singarimbun (2009), uji reliabilitas adalah pengujian statistik yang digunakan untuk menunjukkan sejauh mana suatu alat ukur dapat dipercaya atau dapat diandalkan.
Bila suatu alat pengukur dipakai lebih dari satu kali untuk mengukur gejala yang sama dan hasil pengukuran yang diperoleh relative konsisten, maka alat pengukur tersebut reliable.
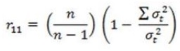
Pengujian reliabilitas instrumen dihitung dengan menggunakan rumus Alpha Cronbach karena instrumen penelitian ini berbentuk angket dan skala bertingkat. Secara matematis, rumus uji reliabilitas adalah :

Dimana,
- r11 = Reliabilitas yang dicari
- n = jumlah item pertanyaan yang diujikan
- α t2 = Varians total
- Σa t2 = Jumlah varians skor tiap item
Catatan : Jika alpha > 0.90 maka reliabilitas sempurna. Jika alpha antara 0.70 – 0.90 maka reliabilitas tinggi. Jika alpha 0.50 – 0.70 maka reliabilitas moderat. Jika alpha < 0.50 maka reliabilitas rendah. Jika alpha rendah, kemungkinan satu atau beberapa item tidak reliabel.
Secara umum, uji reliabilitas membahas tentang sejauh mana hasil dapat direproduksi ketika penelitian diulang dalam kondisi yang sama. Cara menilainya dengan memeriksa konsistensi hasil lintas waktu, lintas pengamat yang berbeda, serta lintas bagian tes itu sendiri.
Sebagai contoh misalnya tinggi seorang anak diukur dengan meteran kayu dan pengukuran dilakukan berkali-kali dengan meteran yang sama, maka hasilnya akan tetap atau tidak berubah.
Berbeda dengan kita menggunakan meteran yang terbuat dari plastik. Hasil yang didapat akan berubah-ubah tergantung bagaimana kita memegang meteran tersebut.
Cara Uji Reliabilitas
Dalam rangka mengetahui tingkat validitas, Anda dapat menggunakan indikator konstruk, konten, serta kriteria dari konsep yang hendak diukur. Sementara itu, aspek reliabilitas mengedepankan hal-hal di bawah ini.
- Tes dan post-test
Ini mengacu pada konsistensi pengukuran sepanjang waktu. Apakah hasilnya sama ketika melakukan pengukuran ulang?
- Penilai lain
Konsistensi pengukuran lintas penilai atau pengamat. Apakah hasilnya sama ketika penilai lain melakukan pengukuran yang sama?
- Konsistensi internal
Konsistensi pengukuran itu sendiri. Apakah hasilnya tetap sama saat menggunakan berbagai komponen tes yang dirancang untuk mengukur hal yang sama?
Sebelum melakukan uji reliabilitas, pastikan Anda sudah memvalidasi instrumen pengukuran lebih dahulu. Selanjutnya, menggunakan pertimbangan berikut saat membuat keputusan relevan.
- Andal bila nilai Cronbach’s Alpha > 0,60
- Tidak andal bila nilai Cronbach’s Alpha < 0,60
Contoh Cara Uji Reliabilitas dengan SPSS
a. Sekelompok mahasiswa Statistika Universitas Brawijaya melakukan pengukuran data mahasiswa penerima beasiswa dari berbagai jalur menggunakan kuisioner. Hasil dari kuisioner tersebut menghasilkan distribusi skor tiap tiap pertanyaan sebagai berikut :
| Responden | Nomor pertanyaan | |||||||||
| 1 | 2 | 3 | 4 | 5 | 6 | 7 | 8 | 9 | 10 | |
| A | 1 | 1 | 1 | 2 | 1 | 2 | 1 | 2 | 1 | 1 |
| B | 2 | 2 | 2 | 2 | 1 | 2 | 2 | 2 | 2 | 2 |
| C | 1 | 1 | 1 | 1 | 0 | 1 | 0 | 1 | 1 | 1 |
| D | 2 | 2 | 2 | 2 | 2 | 2 | 2 | 2 | 2 | 2 |
| E | 1 | 2 | 0 | 1 | 0 | 2 | 0 | 1 | 1 | 1 |
| F | 0 | 1 | 0 | 1 | 0 | 0 | 0 | 1 | 1 | 0 |
| G | 1 | 1 | 1 | 1 | 0 | 1 | 1 | 1 | 1 | 1 |
| H | 2 | 2 | 2 | 2 | 2 | 2 | 2 | 2 | 2 | 2 |
| I | 1 | 0 | 1 | 1 | 1 | 0 | 1 | 1 | 0 | 0 |
| J | 2 | 1 | 2 | 2 | 1 | 2 | 1 | 2 | 1 | 1 |
Buatlah uji reliabilitas data tersebut menggunakan SPSS!
Pembahasan
- Masukkan data distribusi skor tabel diatas ke program SPSS

- Selanjutnya Pilih Analyze dari menu utama, lalu pilih Correlate. Pilih Bivariate seperti gambar berikut.

- Pada Reliability Analysis, masukkan “no1, no2 sampai no10” ke dalam kolom Items dengan cara blok semua nama kemudian klik anak panah ke kanan seperti gambar dibawah ini.

- Setelah semua nama masuk ke kolom Items, klik menu Statistics. Pada menu Descriptives for, centang Scale dan Scale if item deleted seperti gambar dibawah.

Klik Continue, lalu klik OK. Jika semua proses yang anda lakukan sudah benar, maka SPSS akan menampilkan Output seperti berikut ini.

Pada bagian Reliability Statistics terlihat nilai Cronbach’s Alpha = 0.954 yang lebih besar dari r tabel (0.632) dengan taraf signifikansi 5%. Hal ini berarti kuisioner terbukti reliabel.
Jika nilai Cronbach’s Alpha lebih besar dari r tabel dengan taraf signifikansi 5%, maka kuisioner memiliki tingkat reliabilitas yang baik, atau dengan kata lain data hasil angket dapat dipercaya.
| Contoh Uji Skala Likert | Contoh Uji Hipotesis |
| Contoh Uji Purposive Sampling | Contoh Uji T |
Uji validitas dan reliabilitas digunakan untuk penelitian statistika yang menggunakan instrumen penelitian, fungsinya adalah menjadi parameter ukur sejauh mana suatu penelitian bisa dipertanggung jawabkan berdasarkan standar nilai validitas dan realibilitas.
Demikian serangkaian informasi yang bisa wikielektronika.com ulas untuk anda. Uji validitas dan reliabilitas merupakan hal wajib sebelum melakukan penelitian. Oleh karena itu, memahami konsep terkait keduanya secara maksimal adalah kunci kesuksesan pengukuran.
Daftar Pustaka :
https://jurnal.unej.ac.id/index.php/STOMA/article/download/2083/1687/
http://www.academia.edu/5170798/Uji_Validitas_Dan_Reliabilitas
http://elearning.gunadarma.ac.id/docmodul/diklat_kursus_spss/d.Bab_II_Uji_Validitas_dan_Uji_Reliabilitas.pdf